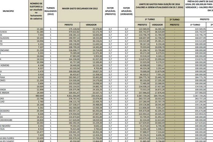
O Tribunal Superior Eleitoral (TSE) divulgou ontem (15) a lista contendo os limites de gastos para os cargos de prefeito e vereador nas eleições deste ano nos municípios brasileiros.
Na tabela, podemos constatar quanto cada cidade poderá gastar no pleito vindouro, baseadas nas alterações da Reforma Eleitoral 2015 (Lei nº 13.165), e fundamentado nos maiores gastos declarados na eleição de 2012.
De acordo com a Resolução Nº 23.459, de 15 de dezembro de 2015, nas eleições para prefeito, no primeiro turno, o limite será de 70% (setenta por cento) do maior gasto declarado para o cargo na última eleição.
Porém, se houve segundo turno na eleição anterior, o valor será 50% (cinquenta por cento) do maior gasto declarado para o cargo.
Já para o cargo de vereador o limite de gastos também será de 70% do maior valor declarado na última eleição. Nos municípios de até dez mil eleitores, o limite de é R$ 100.000,00 (cem mil reais) para prefeito e de R$ 10.000,00 (dez mil reais) para vereador ou o estabelecido na Lei nº 13.165/2015, art. 5º, parágrafo único.
O TSE diz ainda que os valores serão atualizados monetariamente de acordo com a variação do Índice Nacional de Preços ao Consumidor (INPC) da Fundação Instituto Brasileiro de Geografia e Estatística (IBGE).
"O cálculo será feito tendo como base o período de outubro de 2012 a junho de 2016. Os valores corrigidos serão divulgados por ato editado pelo presidente do TSE, cuja publicação deverá ocorrer até o dia 20 de julho do ano da eleição", diz a Resolução do TSE.
Confira o valor para cada município de Alagoas Clicando Aqui!
Redes Sociais: Kleversonlevy
Email: kleversonlevy@gmail.com










