Devido à realização da partida de futebol entre o CSA e o Atlético-GO, pela série B do Campeonato Brasileiro, às 16h, deste sábado (10), parte do trânsito nas imediações do Estádio Rei Pelé, localizado no bairro Trapiche da Barra, será interditado.
A ação será realizada pelas equipes da Superintendência Municipal de Transportes e Trânsito (SMTT), que estarão no local para ordenar as mudanças, que ocorrem a partir das 13h.
No total, dois pontos serão bloqueados. O primeiro ponto de interdição será na Avenida Siqueira Campos com a Rua Cabo Reis. O segundo também será na Cabo Reis, mas desta vez com a Rua Lagoa Hotel.
Agentes de fiscalização estarão presentes no local auxiliando o fluxo de trânsito da região e orientando os condutores e pedestres. A via será liberada em até uma hora após o final do jogo, a depender do fluxo de pessoas nas imediações do estádio.
Reforço nos ônibus
Para os torcedores que forem ao estádio podem ficar tranquilos quanto ao transporte coletivo usado na volta para casa. Os reforços acontecerão apenas para o término da partida, das 16h45 até as 17h15, para as linhas da parte alta da cidade. As linhas que atendem na parte baixa da capital serão reforçadas das 17h10 às 17h30.
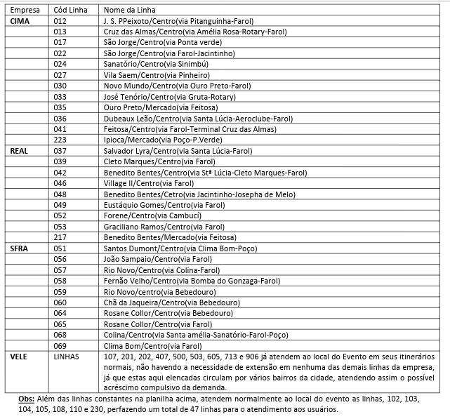
Além disso, os ônibus que fazem o trajeto até o Centro da cidade também estenderão seu itinerário até o Trapiche. Confira abaixo as linhas que farão este serviço:

*Com Ascom SMTT











